Event

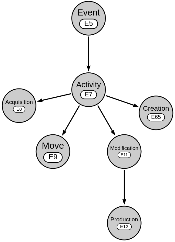
CIDOC documentation: E7 Activity, E8 Acquisition, E5 Event, E11 Modification, E9 Move, E12 Production and E65 Creation

  • Activity (E7 Activity) - The most common form of event, such as a battle, a meeting, or a wedding

  • Acquisition (E8 Acquisition) - Maps a change of property from one owner to another

  • Creation (E65 Creation) - The creation of a document (file; for the making of an artifact use production)

  • Event (E5 Event) - Used for events without human involvement such a natural disaster

  • Modification (E11 Event) - Used to track the modification of artifacts, e.g. a conservation treatment or a change of parts

  • Move (E9 Move) - Movement of artifacts or a person

  • Production (E12 Production) - The creation of artifacts

../_images/event_hierarchy.png

CIDOC CRM hierarchy for the different types of events included in OpenAtlas.

At the index page already entered entities are listed in a Table.

  • Click on the + button to enter a new one

  • Click on the name of an entry in the list to access the detail view

  • To edit or delete an entry, click on the Edit button in the detail view.

Form fields

  • Name

  • Type

  • Date

  • Description

  • Location - The Place where an event happened

  • Sub event of - As Events can be part of another event (e.g. a battle as a sub event of a war), they can be linked here

  • Preceding event - Events can follow up other events, useful for e.g. entering a journey, link them here

  • Reference System

Can be linked via tabs to

  • Source - Use this way to link to a source if an event is refered to in it

  • Actor - Add participants or recipient and donor in case of an acquisition

  • Reference - Add a citation

  • File - Add a file such as an image

For a step by step instructions have a look at our Examples.

Acquisition

  • Given place - Select which places changed ownership

  • Given artifact - Select which artifacts changed ownership

To add recipients and donors use to the Actor tab, add actors and select as activity:

  • acquired title through for recipients

  • surrendered title through for donors

Creation

  • Document (File) - Select files that were created

The creators of the document can be added via the Actor tab; therefore, select carried out by to link

Modification

  • Artifact - Select artifact(s) that were modified

The creators of an artifact can be added via the Actor tab; therefore, select carried out by to link

Move

  • From - Place - as a starting point

  • To - Place - as a destination point

  • Moved Artifact - Select the artifact(s) moved in an event

  • Moved Person - Select the people moved in an event

Unfortunately CIDOC CRM doesn’t allow for a moved by relation for groups. It is still possible to “move” groups via the actor tab, which in the background creates a more general participated at relation between the group and the move event. For more information please take a look at Journey or Move events tutorial.

Production

  • Artifact - Select artifact(s) that was/were produced during the production event

The creators of an artifact can be added via the Actor tab. Therefore, select carried out by to link